Consilierii locali au aprobat, în urmă cu trei zile, bugetul local al Lugojului. Potrivit declarațiilor primarului interimar, suma totală a bugetului, care include secțiunea de funcționare și dezvoltare, se ridică la aproximativ 90 de milioane de euro.
„Suma totală ce cuprinde secțiunea de funcționare și dezvoltare este de 437. 474.000 lei. Pentru secțiunea de funcționare e cuprinsă suma de 143.605.000 lei, iar pentru secțiunea de dezvoltare 293. 868.000 lei. Fac precizarea că sumele prevăzute pentru dezvoltare reflectă doar lucrările de execuție care vor fi realizate strict în cursul acestui an”, a declarat Bogdan Blidariu, primarul interimar al Lugojului.
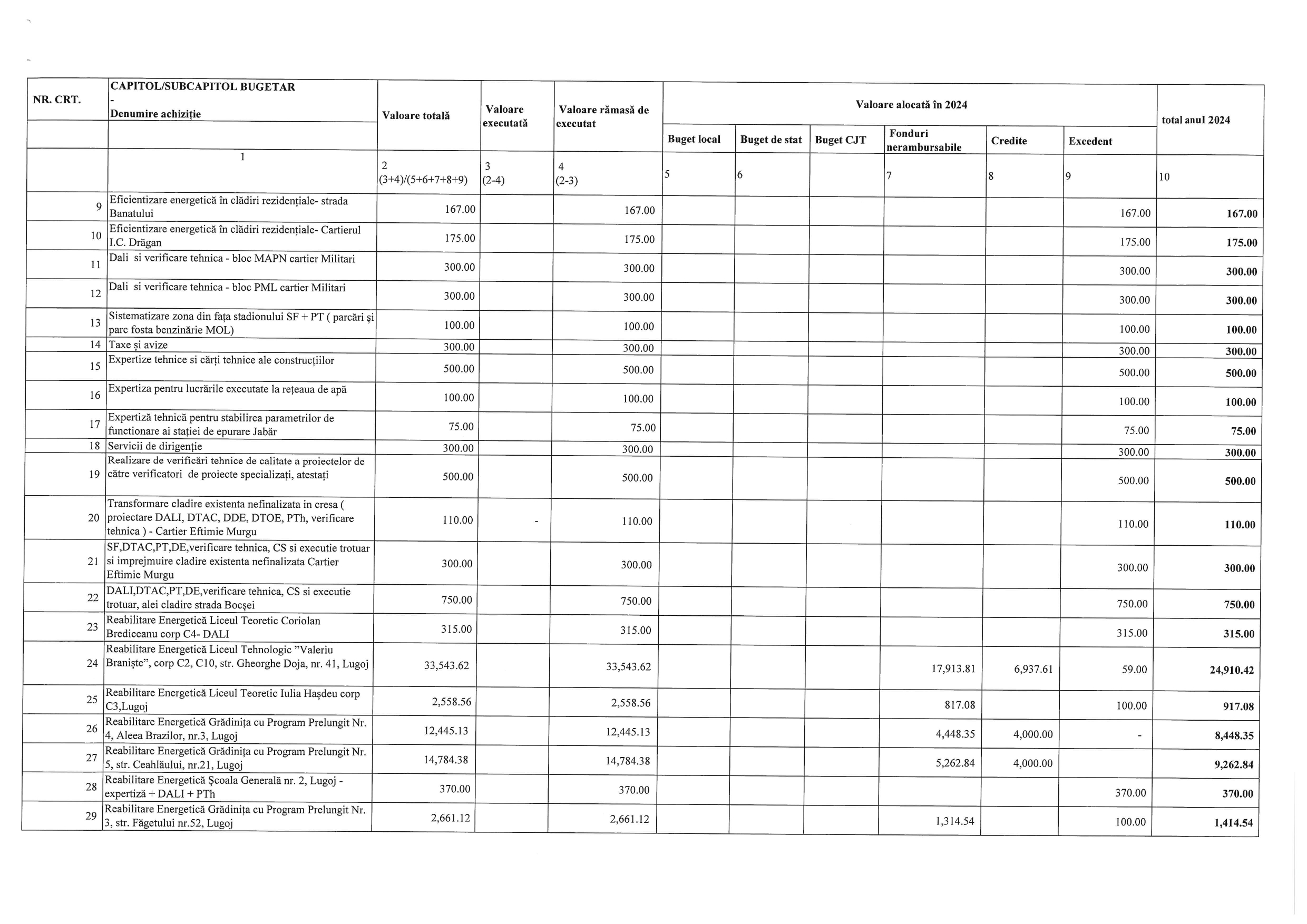
Cum cei mai mulți dintre lugojeni nu au acces la lista de investiții, am decis să o publicăm în întregime, ca toată lumea să poată vedea pentru ce se cheltuie bugetul anului 2024. Sunt 15 paginii de rubrici, cu direcțiile în care merg banii lugojenilor. Cele mai mari sume merg la reabilitarea energetică a școlilor, achiziția de autobuze electrice, realizare și extindere sisteme de alimentare cu apă și canalizare, construirea de locuințe pentru tineri și construirea și reabilitarea de creșe și grădinițe etc. Iată, mai jos, întreaga listă a investiților:

