Compania RETIM anunță graficele de colectare a deșeurilor reciclabile pentru Zona 0 Ghizela Rural și reamintește cetățenilor care sunt și cum se colectează corect acest tip de deșeuri.
Frecvența colectării deșeurilor reciclabile în mediul rural
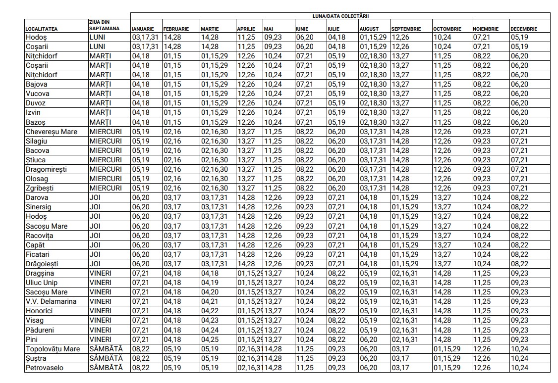
Deșeurile reciclabile se colectează o dată la două săptămâni în mediul rural, conform programului din tabelul alăturat.
Care sunt deșeurile reciclabile
Orice este ambalaj se poate recicla și se depozitează în sacul galben. Categorii de deșeuri incluse:
- Hârtie
- Carton

- Ambalaje din plastic
- Doze de metal
- Conserve
- Tuburi de alimente
- Folia de metal

- Cutii de lapte, tomate sau suc
- PET-uri
- Flacoanele de sampon si detergent.
Sacul galben – recipientul de colectare a deșeurilor reciclabile
Recipientul prevăzut în Regulamentului de Salubrizare al județului Timiș pentru colectarea deșeurilor recicalbile este SACUL GALBEN.
În baza contractului, fiecare abonat primește gratuit o rolă care conține 50 de saci. Această cantitate este suficientă pentru doi ani. În luna decembrie 2021 și în prima perioadă a anului 2022 se derulează cu sprijinul primăriilor locale acțiunea de distribuire gratuită a sacilor galbeni.
Saci galbeni suplimentari pot fi achiziționați contra cost de la sediul RETIM sau în acțiunile de vânzare organizate periodic de către RETIM în fiecare localitate. Aceste acțiuni sunt anunțate în prealabil atât pe canalele proprii, cât și prin intermediul primăriei de care aparțineți.
Cum se depozitează corect deșeurile reciclabile
Ambalajele reciclabile menționate anterior trebuie golite, curățate, pliate sau strivite înainte de a fi depuse la sacul galben. Astfel, volumul recipientului este utilizat la maximum. De exemplu, un recipient de PET nestrivit ocupă același volum ca trei recipiente de PET strivite.
Înainte de a fi scos la stradă, sacul galben se leagă la gură pentru a preveni împrăștierea conținutului.
Mai multe informații
Dacă ai nevoie de detalii sau informații suplimentare despre programul de colectare, despre acest gen de deșeuri sau despre orice deșeuri colectate de RETIM
- Scrie-ne pe email contact@retim.ro sau pagina oficială de Facebook!
- Sună-ne la numărul de Call Center 0374 885 692, unde operatorii noștri sunt disponibili de luni până vineri, între orele 07.00 – 19.00!


